基于外种子的全相干自由电子激光研究取得新进展
中国科学院上海应用物理研究所的研究人员,在长期开展高增益自由电子激光理论与实验研究的基础上,提出了一种新的外种子自由电子激光运行机制。研究表明,这种新的运行模式通过有效地压缩电子束团的局部能散,有望在X射线波段实现全相干自由电子激光,从而为多个科学领域提供更为有效的研究手段,该项研究成果近日发表在《物理评论快报》(Phys. Rev. Lett 111, 084801, 2013)。
作为第四代先进光源,国际上已经建成的X射线自由电子激光纵向相干性较差,尚不能完全满足用户对全相干光脉冲的需求。为了改善辐射的纵向相干性,美国科学家先后提出了高增益高次谐波放大(HGHG)和回声高次谐波放大(EEHG)两种外种子自由电子激光原理。目前,基于HGHG原理的意大利FERMI自由电子激光已经开始向用户提供极紫外波段的全相干脉冲,EEHG原理也先后在上海应用物理研究所和美国SLAC的自由电子激光装置上完成了实验验证。
然而,传统外种子自由电子激光的谐波转换效率受到电子束团能散的限制,一般很难直接从商用外种子激光推进到X射线波段。科研人员提出的外种子自由电子激光新原理(Cooled-HGHG),采用具有横向梯度磁场的波荡器,将相对论电子的横向和纵向运动进行精确耦合,把电子束局部能散进行有效控制压缩,原理上克服了电子束能散的限制,从而大大提升了外种子自由电子激光的高次谐波转换效率。该新机制为全相干X射线自由电子激光装置的建设奠定了相关理论基础,并为相对论电子束的精确操控提供了一种全新的思路,在粒子加速器领域有着广泛的应用前景。
本项研究得到了国家自然科学基金委、国家科技部“973”项目和中国科学院的资助支持,由中国科学院上海应用物理研究所邓海啸博士和冯超博士合作完成。目前,研究人员正在积极开展后续研究,并期望在上海极紫外自由电子激光平台(SDUV-FEL)上实施该新原理的演示实验。(自由电子激光技术部 供稿)
文章链接:http://prl.aps.org/abstract/PRL/v111/i8/e084801


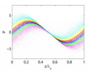
Cooled-HGHG机制电子束相空间演化过程示意图:不同颜色代表不同能量电子,可见在一个种子激光波长范围内,中间部分电子束能散得到了压缩。

Cooled-HGHG与两种传统外种子自由电子激光谐波转换效率比较:Cooled-HGHG谐波转换效率大约是EEHG的2倍,而远远大于HGHG。
附件下载:
