上海高研院在光中子截面测量领域取得新进展
光中子反应截面是核物理、核天体物理及核技术应用中的关键参数。自上世纪60年代以来,美国劳伦斯利弗莫尔国家实验室(Livermore)和法国萨克莱核研究中心(Saclay)使用正电子飞行湮灭伽马源所测数据存在系统性差异,虽经多次实验评估,仍未完全解决,急需重新测量和评价。上海激光电子伽马源(SLEGS)是上海光源二期建设的国际首条基于激光康普顿斜入射(Laser Compton Slant-Scattering, LCSS)模式的22MeV以下能区伽马射线束流线,通过改变激光与上海光源(SSRF)储存环电子束的相互作用角度,可实现0.66 MeV至21.7 MeV能量连续可调的准单能伽马射线。SLEGS于2023年开放运行,具备5-15%的能量分辨率与105-107光子/s的高通量特性,为光核反应研究提供了国际领先的实验平台(图1)。激光伽马专业组在首次实验中系统测量了197Au和159Tb的(γ,1n)光中子反应截面,对SLEGS特色的光中子截面测量方法学做了检验,为将来光核数据的系统性差异解决提供了研究基础与实验条件。

图1. SLEGS线站布局示意图
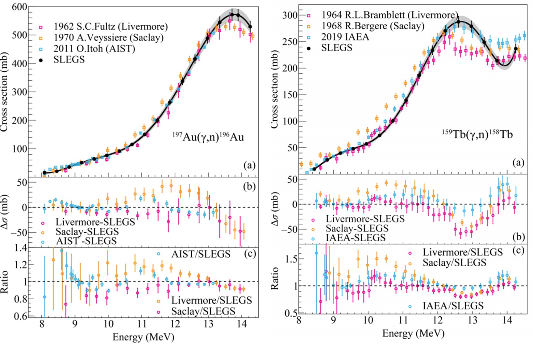
该研究成果以“The day-one experiment at SLEGS: systematic measurement of the (γ,1n) cross sections on 197Au and 159Tb for resolving existing data discrepancies”为题,发表在《Science Bulletin》2025年第70卷上。团队利用SLEGS产生的准单能伽马束流,结合自主研发的平坦效率中子探测器阵列(FED探测器,采用26根3He正比计数管嵌入聚乙烯慢化体,中子探测效率高达~40%,系统误差控制在3.02%以内,保障了数据的高精度与可靠性)对197Au和159Tb光中子截面进行了系统测量。实验通过直接解卷积法(Direct Unfolding)重建入射伽马能谱,结合环比技术(Ring-Ratio)推算中子平均能量与探测器效率,最终通过奥斯陆(Oslo)方法获得单能截面数据。结果表明SLEGS数据与日本NewSUBARU装置的激光康普顿散射伽马源测量结果数据符合一致,以及优于Livermore和Saclay正电子飞行湮灭伽马源的数据(图2),实验验证了SLEGS装置和测量方法的可靠性,也为未来系统解决其余核素的数据差异奠定了基础。

图2. SLEGS和Livermore、Saclay测量的197Au(γ,1n)196Au,159Tb(γ,1n)158Tb截面对比
该研究由中国科学院上海高等研究院、中国科学院上海应用物理研究所、中国科学院大学、复旦大学现代物理研究所等单位合作完成。论文第一作者为郝子锐博士,通讯作者为范功涛研究员、王宏伟研究员和马余刚院士。研究获得国家重点研发计划、国家自然科学基金、核数据重点实验室开放基金支持。
文章链接:https://doi.org/10.1016/j.scib.2025.05.037
附件下载:
