科研人员采用强亚胺键单晶生长策略,首次实现了共价有机框架材料大尺寸单晶的生长,并借助BL17B同步辐射单晶X射线衍射技术实现了原子尺度精确结构解析。该研究不仅突破了共价有机框架材料领域发展的长期瓶颈,也为动态共价化学的理论和应用研究提供了全新的实例。
首例大尺寸COF单晶X-射线衍射结构
重要发现
兰州大学王为、北京大学孙俊良以及加州大学伯克利分校Omar M. Yaghi研究团队,建立了一种利用强亚胺键控制合成大尺寸单晶COFs的新策略,首次合成出三维大尺寸COFs单晶,并借助BL17B同步辐射单晶X-射线衍射技术实现了原子尺度精确结构解析。相关研究成果以“Single-crystal x-ray diffraction structures of covalent organic frameworks”为题,于2018年7月发表在Science上。
研究意义
该项研究首次实现了共价有机框架材料大尺寸单晶的生长和基于单晶X-射线衍射技术的原子尺度结构解析,不仅突破了共价有机框架材料领域发展的长期瓶颈,也为动态共价化学的理论和应用研究提供了全新的实例。
研究背景
结晶问题是多孔共价有机框架(COFs)化学中的一个重大挑战。目前合成出的COFs材料主要表现为多晶形态,其结构表征仅限于基于粉末X射线或电子衍射数据的模型和解决方案,但“更真实”的单晶SXRD结构始终无法获得。要加深对COF构效关系的进一步了解,需要获得大尺寸单晶,并通过单晶X-射线衍射技术在原子尺度的层面解析其精确结构。
研究内容
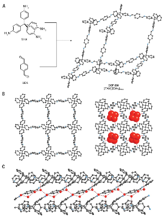
研究人员建立了一套普适性的控制合成大尺寸单晶COFs的新策略。通过加入过量苯胺作为成核抑制剂和竞争性调节剂来控制亚胺键的成键速度,增加成键的可逆性,改善晶体缺陷的自我纠正,首次合成出COF-300、COF-303、LZU-79、LZU-111四种三维亚胺型COFs的大尺寸单晶。
图1|苯胺调节基于亚胺键的COF材料的单晶生长
采用同步辐射单晶X-射线衍射等技术手段对上述单晶COFs的结构进行测试和解析,首次观察到COFs孔道中水分子客体的有序排列、COFs框架中有机链的构象旋转、以及亚胺键的连接方向等核心信息。

图2|COF-300及包含客体分子水的COF-300的单晶结构

图3|COF-303、LZU-79的单晶结构以及与COF-300的结构差异
附件下载:
