重要发现
清华大学物理系于浦教授课题组与上海光源软X射线谱学显微线站(BL08U1A)合作,利用X-射线吸收谱(XAS)、原位电输运、电镜等对氧化物TiO2材料表面二维电子气进行了探究,揭示了局域电子和高迁移率电子之间的关联/耦合特性。
研究的重要性和影响力
该研究丰富了对二维电子气的形成和输运机理的认识,而且提供了一个探究复杂氧化物表面奇异电子态的新思路。相关成果以“Coexistence of Both Localized Electronic States and Electron Gas at Rutile TiO2 Surfaces”为题,于2023年6月11日发表在《先进材料》(Advanced Materials)上。
研究背景
氧化物表面和界面体系呈现丰富多样的呈展现象,比如LaAlO3/SrTiO3界面具有高迁移率二维电子气、超导、磁性等特性,是研究复杂氧化物低维体系中奇异电子态和磁态的平台,而这些丰富物性与材料体系中的载流子及其与晶格耦合等密切关联,揭示其对物性的影响及衍生功能对于科学研究和潜在应用都具有重大意义。载流子与局域晶格畸变耦合会形成电荷局域化的极化子,其对材料中超导、庞磁阻、热电、表面化学等众多物性都具有重要影响。根据载流子局域的程度不同,局域极化子通常可划分为两类:大极化子和小极化子。大极化子通常具有几个晶胞的尺度,其局域能级大概位于费米面附近10 meV左右,表现为接近自由迁移的准粒子行为,体系具有导电金属性。而小极化子一般较小(单个晶胞尺寸)、其局域能级也较高(费米面附近1eV),体系通常为绝缘性。近年来,研究发现一些材料体系可同时表现出具有高迁移率的载流子输运以及局域化的小极化子行为;然而两者之间的共存机理以及转变调控还有待进一步地探究。
主要研究内容
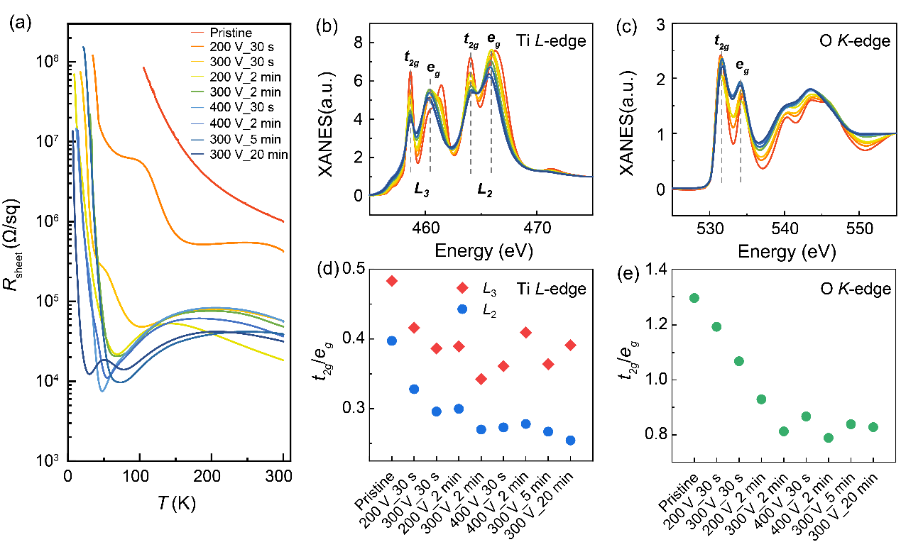
金红石TiO2是一个具有极化子输运行为的典型材料,实验和理论研究表明其存在小极化子并且氧空位可以在金红石TiO2的表面诱导二维电子气,这为探究高迁移率的载流子输运以及局域化的小极化子行为的关联提供潜在的研究载体。研究组通过真空氩离子轰击的方式,在金红石TiO2表面引入了高浓度的氧缺陷,使得 Ti离子的3d1能级得到部分填充,进而观测到准二维电子气特性(XAS谱)。不同于之前被广泛研究的SrTiO3表界面二维电子气体系,实验发现TiO2表面电子气中的载流子浓度随着温度的降低而急剧减小,致使体系发生了显著的金属—绝缘体转变;然而绝缘态下的电子迁移率依然高达~103 cm2V-1s-1。这是由于在较低的温度下金红石TiO2晶格中掺杂的电子会形成浅能级的局域电子态,并随着温度降低而逐渐冻结在该局域能级。他们进一步通过原位离子液体门电路调控的手段,在该体系中实现了连续的电子掺杂调控,使体系的高温导电性得到系统性增强;但有趣地是体系低温局域电子态行为并不随着电子掺杂而发生变化,该结果表明低温局域态是材料的本征物性。此外,他们还发现利用纵向静电场可以控制局域化电子转变为自由电子行为,从而使体系表现出电场可控的绝缘体—金属相变;此外还在高场下观测到因为载流子迁移率降低而产生的负微分电阻行为。
图1. 不同氩离子轰击条件下TiO2表面的R(T)曲线和Ti L-edge和O K-edge的X-射线吸收精细结构谱(TEY模式)。
展望
该研究揭示了氧化物表界面体系中的载流子及其与晶格耦合对材料物性及衍生功能的重要影响,为探究复杂氧化物表面奇异电子态提供了一个新思路,并对未来低维体系的科学研究和潜在应用都有一定启示意义。
联系人
BL08U1A用户负责人:许子健,xuzj@sari.ac.cn, 13681612583
相关论文
Shengchun Shen,* Meng Wang, Yang Zhang, Yingjie Lyu, Di Tian, Chang Gao,
Youwen Long, Jin Zhao, and Pu Yu,* Coexistence of Both Localized Electronic States and Electron Gas at Rutile TiO2 Surfaces. Advanced Materials 35, 2301453 (2023).
附件下载:
